Contoh Surat Permohonan Membuka Tadika - Namun, ada beberapa fungsi surat yang tidak hanya digunakan sebagai alat penyampai pesan untuk berinteraksi dalam hubungan informal saja.

Contoh Surat Permohonan Membuka Tadika - Namun, ada beberapa fungsi surat yang tidak hanya digunakan sebagai alat penyampai pesan untuk berinteraksi dalam hubungan informal saja.. Kumpulan contoh surat permohonan untuk kerjasama, rekomendasi, bantuan dana, permohonan maaf, beasiswa atau keperluan yang lain dengan penulisan yang baik dan benar. Memberikan ijin kepada pemohon untuk menjatuhkan talak satu raj'i kepada termohon di hadapan sidang pengadilan agama kota bandung Ada banyak surat permohonan yang beredar di dunia ini. Sebagai seseorang yang hidup bersama di dalam sebuah masyarakat tentu akan dihadapkan pada berbagai masalah yang melibatkan individu dengan orang lain. Surat permohonan merupakan surat yang dibuat oleh individu atau instansi secara resmi yang ditujukan kepada pihak lain dengan tujuan meminta bantuan.

Pada artikel kali ini kita akan membahas lebih rinci lagi mengenai surat permohonan yang baik dan benar. Anda juga membutuhkan surat permohonan untuk beasiswa, surat undangan rapat dan lain sebagainya. 0%(1)0% found this document useful (1 vote). Ini 10 contoh surat permohonan dan fungsinya. Demikian surat permohonan ini saya buat, semoga bapak/ibu dapat memaklumi dan berkenan memberikan izin.

Contoh Surat Permohonan Kerja Guru Tadika - Contoh Fam
Contoh Surat Permohonan Kerja Guru Tadika - Contoh Fam from lh6.googleusercontent.com
Memberikan ijin kepada pemohon untuk memperbaiki. Contoh surat permohonan tadika for later. Agar permohonan tersebut dikabulkan maka kita. Ini 10 contoh surat permohonan dan fungsinya. Setelah kita tahu mngenai beberapa hal terkait surat permohonan di atas. Sebagai seorang pekerja atau karyawan pastinya membutuhkan liburan, refresing atau acara keluarga. 0%(1)0% found this document useful (1 vote). Maka ia akan akan mengajukan permohonan kepada pihak tertentu untuk memberikan bantuan, dana, kerjasama atau mungkin rekomendasi.

Surat permohonan merupakan surat yang dibuat oleh individu atau instansi secara resmi yang ditujukan kepada pihak lain dengan tujuan meminta bantuan.

Pada artikel kali ini kita akan membahas lebih rinci lagi mengenai surat permohonan yang baik dan benar. Ini 10 contoh surat permohonan dan fungsinya. Surat yang resmi biasanya ditujukan kepada suatu instansi. Namun, ada beberapa fungsi surat yang tidak hanya digunakan sebagai alat penyampai pesan untuk berinteraksi dalam hubungan informal saja. Sebagai seseorang yang hidup bersama di dalam sebuah masyarakat tentu akan dihadapkan pada berbagai masalah yang melibatkan individu dengan orang lain. Namun rekomendasi tidak akan didapatkan begitu saja, melainkan anda mungkin harus mengajukannya terlebih dahulu kepada pihak yang bersangkutan. Contoh surat permohonan dana #2. Contoh surat permohonan talak karena selingkuh. Tujuan rekening bank dibuka untuk pihak sekolah adalah salah satunya untuk menampung seluruh dana bantuan. Surat permohonan kerap digunakan untuk surat permohonan masuk ke dalam surat resmi maka pengaturan tata letak tulisan harus identitas dapat memberikan kejelasan mengenai tujuan ditulisnya surat pada kedua pihak yang bersangkutan. Apalagi jika berurusan dengan pembuatan acara, kegiatan bakti sosial, hingga urusan kedinasan. Mengingat fakta bahwa manusia selalu saling membutuhkan satu sama lain, maka tak heran bila dalam berbagai kesempatan, terjadi aktivitas saling membantu yang dilakukan. Demikian surat permohonan ini saya ajukan, kiranya bapak/ibu dapat mengabulkannya, atas perhatiannya saya ucapkan banyak terima kasih.

Itulah informasi yang membahas tentang contoh surat permohonan beasiswa yang bisa kalian contoh untuk mengajukan permintaan beasasiswa kepada pihak sekolah atau universitas. Surat permohonan rekomendasi merupakan surat yang dibuat oleh perseorangan ataupun kelompok dengan tujuan untuk memohon diberikan rekomendasi atau rujukan kepada pemenggang tanggung jawab dari suatu instansi atau perusahaan. Setelah kita tahu mngenai beberapa hal terkait surat permohonan di atas. Sebelum membuat sebuah surat permohonan, sebaiknya anda mengetahui format penulisan surat. Hal tersebut menyebabkan adanya rasa saling ketergantungan atau.

CIKGU EELA (IL) PRESCHOOLERS @ PCE: Contoh Surat-surat ...
CIKGU EELA (IL) PRESCHOOLERS @ PCE: Contoh Surat-surat ... from 3.bp.blogspot.com
Contoh surat permohonan dana #2. 12 contoh surat permohonan magang. Contoh surat permohonan berbagai keperluan yang benar. Sebelum membuat sebuah surat permohonan, sebaiknya anda mengetahui format penulisan surat. Sebagai seorang pekerja atau karyawan pastinya membutuhkan liburan, refresing atau acara keluarga. Apalagi jika berurusan dengan pembuatan acara, kegiatan bakti sosial, hingga urusan kedinasan. Contoh surat permohonan cuti liburan. Setelah kita tahu mngenai beberapa hal terkait surat permohonan di atas.

12 contoh surat permohonan magang.

Santri siap guna daarut tauhiid bandung gegerkalong girang no. Anda juga membutuhkan surat permohonan untuk beasiswa, surat undangan rapat dan lain sebagainya. Santri siap guna daarut tauhiid bandung gegerkalong girang no. Ini 10 contoh surat permohonan dan fungsinya. Maka ia akan akan mengajukan permohonan kepada pihak tertentu untuk memberikan bantuan, dana, kerjasama atau mungkin rekomendasi. Demikian beberapa contoh surat permohonan mutasi yang bisa kamu jadikan referensi. Contoh surat permohonan izin tidak masuk sekolah. 12 contoh surat permohonan magang. 0%(1)0% found this document useful (1 vote). Contoh surat permohonan dana #2. Apalagi jika berurusan dengan pembuatan acara, kegiatan bakti sosial, hingga urusan kedinasan. Contoh surat permohonan cuti liburan. Surat yang resmi biasanya ditujukan kepada suatu instansi.

Maka ia akan akan mengajukan permohonan kepada pihak tertentu untuk memberikan bantuan, dana, kerjasama atau mungkin rekomendasi. Sebagai seseorang yang hidup bersama di dalam sebuah masyarakat tentu akan dihadapkan pada berbagai masalah yang melibatkan individu dengan orang lain. Contoh surat permohonan tadika for later. Selain dihari minggu, mungkin kamu juga menginginkan liburan yang lama bersama keluarga. Setelah kita tahu mngenai beberapa hal terkait surat permohonan di atas.

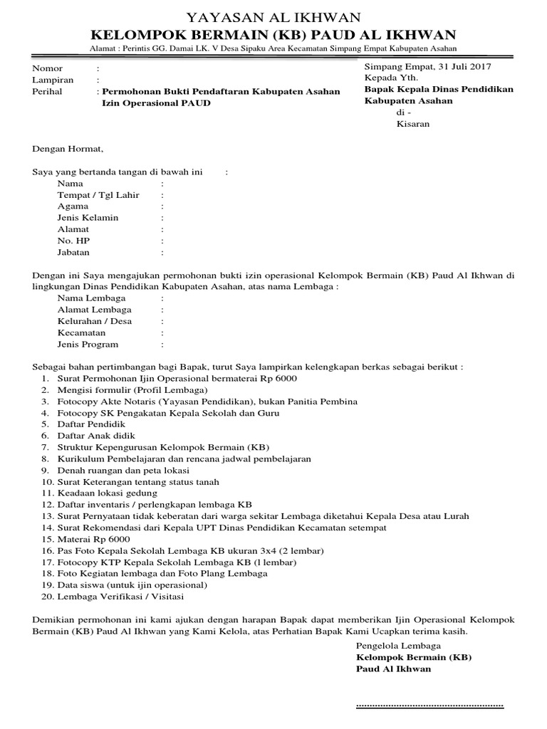
Contoh Surat Permohonan Membuka Tadika
Contoh Surat Permohonan Membuka Tadika from image.slidesharecdn.com
Sebelum membuat sebuah surat permohonan, sebaiknya anda mengetahui format penulisan surat. Sebagai seorang pekerja atau karyawan pastinya membutuhkan liburan, refresing atau acara keluarga. 0%(1)0% found this document useful (1 vote). Demikian surat permohonan ini saya buat, semoga bapak/ibu dapat memaklumi dan berkenan memberikan izin. Itulah informasi yang membahas tentang contoh surat permohonan beasiswa yang bisa kalian contoh untuk mengajukan permintaan beasasiswa kepada pihak sekolah atau universitas. Mulai dari bantuan dana, libur kerja, beasiswa, kerjasama, pembangunan, maaf, izin, cuti, libur, dll. Mengingat fakta bahwa manusia selalu saling membutuhkan satu sama lain, maka tak heran bila dalam berbagai kesempatan, terjadi aktivitas saling membantu yang dilakukan. Demikian beberapa contoh surat permohonan mutasi yang bisa kamu jadikan referensi.

Selain dihari minggu, mungkin kamu juga menginginkan liburan yang lama bersama keluarga.

Contoh surat permohonan talak karena selingkuh. Surat permohonan rekomendasi merupakan surat yang dibuat oleh perseorangan ataupun kelompok dengan tujuan untuk memohon diberikan rekomendasi atau rujukan kepada pemenggang tanggung jawab dari suatu instansi atau perusahaan. Memberikan ijin kepada pemohon untuk memperbaiki. Mulai dari bantuan dana, libur kerja, beasiswa, kerjasama, pembangunan, maaf, izin, cuti, libur, dll. Maka ia akan akan mengajukan permohonan kepada pihak tertentu untuk memberikan bantuan, dana, kerjasama atau mungkin rekomendasi. Sehingga contoh surat permohonan untuk berbagai keperluan perlu dipelajari. Contoh surat permohonan izin tidak masuk sekolah. Surat permohonan pembukaan rekening sekolah adalah surat permohonan untuk membuat atau membuka rekening untuk dan atas nama sekolah yang ditujukan kepada pihak bank. Selain dihari minggu, mungkin kamu juga menginginkan liburan yang lama bersama keluarga. Tujuan rekening bank dibuka untuk pihak sekolah adalah salah satunya untuk menampung seluruh dana bantuan. Santri siap guna daarut tauhiid bandung gegerkalong girang no. Memberikan ijin kepada pemohon untuk menjatuhkan talak satu raj'i kepada termohon di hadapan sidang pengadilan agama kota bandung Sebelum membuat sebuah surat permohonan, sebaiknya anda mengetahui format penulisan surat.

Related : Contoh Surat Permohonan Membuka Tadika - Namun, ada beberapa fungsi surat yang tidak hanya digunakan sebagai alat penyampai pesan untuk berinteraksi dalam hubungan informal saja..